91猫先生-91猫先生官方探花实录视频站
主页
91猫先生概况
91猫先生简介
现任领导
历史沿革
历任领导
形象宣传
院徽院训
机构设置
院党政办公室
院团委
院工会
院学位评定分委员会
院学术委员会
院本科教指委
系科设置
师资队伍
师资力量
双聘院士
知名专家
博士生导师
硕士生导师
兼职教授
学科建设
学科动态
学科方向
重点学科
学位点
博士后科研流动站
科学研究
科研平台
科研团队
科研项目
科研成果
学术学会
社会服务
教育教学
本科生教育
研究生教育
教学平台
专业设置
教学团队
教学工程
教学成果
党建工作
党建动态
支部设置
先锋模范
薪火强音
学生工作
学工动态
学生机构
学生社团
招生就业
招生信息
就业信息
下载中心
本科生
研究生
教职工
学生工作
> 学工动态
> 学生机构
> 学生社团
当前位置:
主页
>
学生工作
>
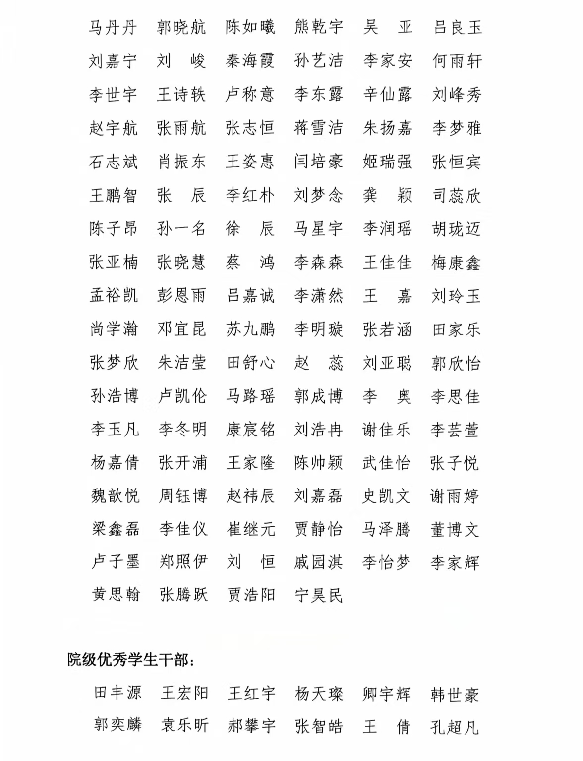
91猫先生 2025-2026学年院级先进班集体、红旗团支部、先进个人名单公示
发布时间:2026-04-01 08:00 浏览次数:
根据《91猫先生 关于评选表彰2025-2026学年先进集体和先进个人的通知》的文件精神,本着公平,公正、公开的原则,经个人申报、班级评选、学院审查,结合班级综合表现,经学院学生工作领导小组研究决定,现将公布学院先进班集体、红旗团支部、三好学生、优秀学生干部、优秀团员名单如下(排名不分先后):
快速链接
91猫先生
河南省农业工程学会
国家级农业工程训练中心
实验室安全考试系统
河南农业工程虚拟仿真中心